Pigmentu horia 97
Pigment Yellow 97 is a bright, durable yellow pigment commonly used in coatings, inks, plastics, and paints. Known for its excellent lightfastness, weather resistance, and non-toxic properties, it offers vibrant color with high opacity. This pigment provides superior color strength and is often chosen for applications requiring consistent, high-quality yellow hues. It’s widely used in industrial sectors such as automotive, textiles, and packaging, offering a reliable and long-lasting color solution. Pigment Yellow 97 is valued for its versatility, environmental safety, and ability to maintain color integrity even under harsh conditions.
| Sinonimoak | CIPigment Horia 97; CIPY97; PY97; PY97 |
| CI zenbakia | 11767 |
| CAS zenbakia | 12225-18-2 |
| EB zenbakia | 235-427-3 |
| Formula molekularra | C26H27CINN4O8S |
| Familia kimikoa | Mono azo |
| Kolore | ![]() |
| Tenu banaketa |
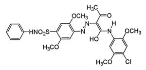
Egitura Molekularra:

Pigmentu horia 97 Propietate fisikoak, kimikoak eta iraunkortasuna
| Pisu Molekularra | 591.08 |
| PH balioa | 7.5 |
| dentsitatea | 1.5 |
| Olioaren xurgapena (ml / 100g)% | 45 |
| Argiaren azkartasuna | 7 |
| Beroarekiko erresistentzia | 200 (°C) |
| Urarekiko erresistentzia | 5 |
| Olioarekiko erresistentzia | 4 |
| Azidoarekiko erresistentzia | 5 |
| Erresistentzia Alkali | 5 |
Aplikazio
Pigment Yellow 97-k hainbat industriatan aplikatzen du bere kolore hori biziagatik. Aplikazio arrunt batzuk honako hauek dira:
Pinturak eta estaldurak: Pigment Yellow 97 pinturak eta estaldurak formulatzeko erabiltzen da apaingarri eta babeserako. Uretan edo disolbatzaileetan oinarritutako margoetan sar daiteke tonu horia emateko.
Inprimatzeko tintak: pigmentua inprimatzeko tinta horiak ekoizteko erabiltzen da ontziak, argitalpenak eta beste inprimatutako materialetarako aplikazioetarako.
Plastikoak: Pigment Yellow 97 plastikoen kolorazioan erabili ohi da, PVC (polibinil kloruroa), poliolefinak eta beste material polimero batzuk barne. Kolore hori iraunkor eta egonkorra ematen die plastikozko produktuei.
Ehungintza: ehungintzan, pigmentu hau ehunak tindatzeko erabil daiteke, ehunari eta jantziei kolore horia emanez.
Tintazko tintak: Pigment Yellow 97 tintazko tintaren formulazioan erabil daiteke irudiak eta testuak hainbat substratutan inprimatzeko.
Artistaren koloreak: artistek eta arte-hornigaien fabrikatzaileek Pigment Yellow 97 erabil dezakete olio-pinturak, akrilikoak, akuarelak eta bestelako euskarri artistikoak ekoizteko.
Beste aplikazio batzuk: pigmentua kolore horia egonkor eta bizia nahi den beste hainbat aplikaziotan ere erabil daiteke, hala nola, kosmetika, kautxuzko produktu eta estaldura berezien kolorazioan.
Lotutako informazioa
Pigment Yellow 97 is a hydroxyl-containing polycarboxylic acid that is used in the production of paints and plastics. It has an oxidation potential of +0.6 volts, which indicates that it is reactive. Pigment Yellow 97 has an absorption maximum at 526 nm and a molecular weight of 317.09 g/mol. The chemical structure of Pigment Yellow 97 consists of a molecule with a reactive carboxyl group and a reactive hydroxyl group, as well as an intramolecular hydrogen bond between the two groups. This pigment also forms coordination complexes with metals such as iron oxides to form particle pigments or mixtures with glycol esters to form solid particles or dispersions, respectively.
Izenak eta Identifikatzaileak
IUPAC izena: N-(4-kloro-2,5-dimetoxifenil)-2-[[2,5-dimetoxi-4-(fenilsulfamoil)fenil]diazenil]-3-oxobutanamida
InChI=1S/C26H27ClN4O8S/c1-15(32)25(26(33)28-18-12-20(36-2)17(27)11-21(18)37-3)30-29-19- 13-23(39-5)24(14-22(19)38-4)40(34,35)31-16-9-7-6-8-10-16/h6-14,25,31H, 1-5H3,(H,28,33)
InChiKey: WNWZKKBGFYKSGA-UHFFFAOYSA-N
Irribarre Kanonikoak: CC(=O)C(C(=O)NC1=CC(=C(C=C1OC)Cl)OC)N=NC2=CC(=C(C=C2OC)S(=O)(= O)NC3=CC=CC=C3)OC
Konputatutako Propietateak
| Jabetza izena | Jabetza Balioa |
| Pisu Molekularra | 591.0 g/mol |
| XLogP3-AA | 4.6 |
| Hidrogeno-lotura emaileen zenbaketa | 2 |
| Hidrogeno-lotura-hartzaileen zenbaketa | 11 |
| Lotura birakarien zenbaketa | 12 |
| Meza zehatza | 590.1238127 Da |
| Masa monoisotopikoa | 590.1238127 Da |
| Azalera polar topologikoa | 162 Ų |
| Atomo Astunaren Zenbaketa | 40 |
| Karga Formala | 0 |
| Konplexutasuna | 974 |
| Isotopo Atomoen Zenbaketa | 0 |
| Definitutako Atom estereozentroen zenbaketa | 0 |
| Definitu gabeko Atom estereozentroen zenbaketa | 1 |
| Definitutako Bond Estereozentroen Zenbaketa | 0 |
| Definitu gabeko lotura estereozentroen zenbaketa | 0 |
| Lotura kobalenteko unitate-zenbaketa | 1 |
| Konposatua Kanonalizatuta dago | Bai |











